Opcije pristupačnosti Pristupačnost

Rezultati dodatne provjere u 1. roku...

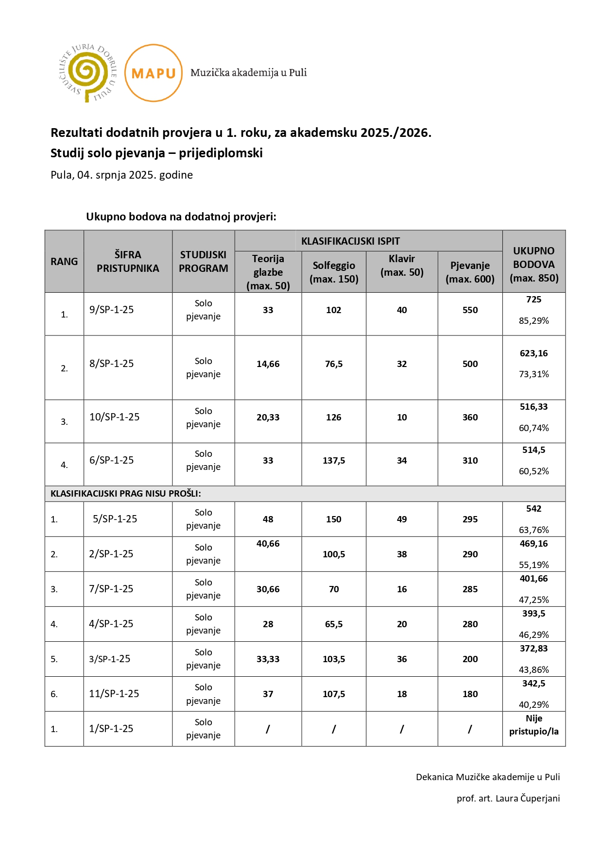
U nastavku objavljujemo rezultate dodatnih provjera u 1. roku za studij solo pjevanja.

Popis obavijesti